Skip to content
Hans Smedema Affair

Hans Smedema Affair

Victim of the largest horrifying kafkaesque and orwellian (Royal) conspiracy in Netherlands history with KLM Co-Pilot King Willem Alexander corruptly blocking the American legal Asylum against the Netherlands I was offered on March 15th, 2017 in the air above Montana causing me more years of horrible suffering.

A Kafkaesque surreal orwellian true crime psychological thriller about a desperate man’s quest to expose a rapist-traitor high-level political (Royal) conspiracy, which destroyed his and others life including murder, and put hundreds of innocent officials international into severe dangerous ethical dilemmas! KLM Co-Pilot King Willem Alexander corruptly blocked the American Asylum I was offered on March 15th, 2017 in the air above Montana! 

AI-Search my Blog

Categories

  • Dutch Royal Injustice
  • English
  • EU Fatal Legal Errors
  • French
  • Gemini Advanced
  • Geweld Schadefonds
  • NotebookLM
  • Spanish
  • WOO & FOIA
  • World Problems

Follow Hans Smedema

Severe Human Rights Violations!

Author Hans Smedema

Review Ebooks

‘It is a story that will arouse horrified fascination. I stayed up late reading last night; I had to force myself to stop.

Yes, it’s hard to believe these things could really be happening to someone. I like your writing style; it is very direct and very accessible to the reader, like you’re right there, talking, and this makes it very compelling to keep reading.

The dark world of pornography is permeated through our culture and has so many hidden layers that would shock the average person.

We’ve all heard the expression “truth is stranger than fiction”; this goes beyond all sinister imagination…’

Pages

  • Complaint contents – Klacht inhoud?
  • Contents Sitemap – Inhoud blog
  • EVIDENCE VAULT!
  • Hans Smedema Affair Home Page – Nederlands
  • LEGAL DISCLAIMER, COPYRIGHT & WHISTLEBLOWER NOTICE
  • Press Information
  • The Hans Smedema Affair: A Story of Betrayal, Conspiracy, and the Fight for Justice!
  • The Perfect Crime! Anatomy of a 50-Year Dutch State Cover-Up
  • Timeline all crucial events!
  • BIO Info Hans Smedema
  • FAQ Press – Explanation Conspiracy!
  • Most Recent Crucial Latest Posts!
  • About Hans Smedema & Contact
  • Disclaimer – Samenvatting
  • 1.0 Ebooks Hans Smedema!
  • 1.1 Press- Het bizarre perfecte misdrijf!
  • 1.2 Misdrijven chronologisch!
  • 1.3 Politieke Samenzwering!
  • 1.4 Dossier Hans Smedema!
  • 1.5 Bewijs en getuigen!
  • 1.6 De verraders!
  • 1.7 De helden!
  • 1.8 Wat is Amnesie, verdringing en een oproepbare emotionele persoonlijkheid?
  • 2 Strafzaak Smaad 2009!
  • 4 Onderzoek & Bewijs!
  • 5 J’Accuse! Fraude!
  • 6 Politiek Asiel!
  • 8.0 Hoger Beroep Smaad 2011/12!
  • 9 Politierechter 2015 & 2016
  • 10. Drs. Jaap J. Duijs Drachten
  • 11 Fraude door Psychiaters!
  • 12 Hans Smedema Amnesia Foundation

Recent Posts

  • The Adjudication of Systemic State Failures in European Law: Transcending the “Personal Grievance” Doctrine Through Collective Redress Mechanisms 19/05/2026
  • Transnational Human Rights Violations, International Treaty Body Findings, and the Limits of European Union Competence: An Analytical Report 17/05/2026
  • Timeline of being drugged and Chemical Submission 16/05/2026
  • Comprehensive Legal Analysis of the UNCAT Communication Against the Kingdom of Spain: Admissibility, State Responsibility, and Interim Measures 14/05/2026
  • Spain UNCAT Complaint filed on May 13, 2026 with code WUR/33438! 13/05/2026
  • De juridische anatomie van Nederlandse staatsgesponsorde schijnprocessen 06/05/2026
  • The Legal Anatomy of Dutch State-Sponsored Sham Trials 06/05/2026
  • Transnational State Capture and Institutional Vulnerability in the Hans Smedema Affair: An Analysis of the Spanish Justice and Intelligence Architecture 05/05/2026
  • Nederlandse Queengate: De 50 Jaar Demmink Samenzwering en de Koninklijke Doofpot 04/05/2026
  • The Architecture of State Capture and Supranational Paralysis: An Analysis of the Hans Smedema Affair and the Imperative for EU Legal Reform 02/05/2026
  • Restoring the Dutch Rechtsstaat: A Blueprint for Systemic Reform 01/05/2026
  • Het totale falen van de Nederlandse Scheiding der Machten of Trias Politica! 01/05/2026
  • Beroep op betalingsonmacht (Art. 8:41 lid 6 Awb) subsidiair verzoek om verschoonbare termijnoverschrijding wegens extreme, systeem-overstijgende omstandigheden (ECLI:NL:CBB:2024:31) 29/04/2026
  • Dutch Legal Absurdities: A Global Uniqueness 27/04/2026
  • Institutionele Analyse van Buro Jansen & Janssen en Strategisch Kader voor de Zaak-Hans Smedema 20/04/2026
  • Comprehensive Neuropathological and Neurocognitive Analysis of Severe, Repetitive Electrical Trauma and Long-Term Neurodegenerative Risk for Hans Smedema 19/04/2026
  • Life threatening wrong diagnoses: Medical and Trauma Dossier of Victim Ing. Hans Smedema 18/04/2026
  • The Smedema UNCAT Complaint: State Torture and Systemic Impunity 17/04/2026
  • Reactie op CTIVD weigering van mijn FORMAL NOTICE OF INSTITUTIONAL FRAUD 15/04/2026
  • FORMAL NOTICE OF INSTITUTIONAL CTIVD FRAUD, COMPLICITY IN TORTURE, AND DEMAND FOR BINDING INVESTIGATION 14/04/2026
  • Forensic Legal Analysis of the Review Committee on the Intelligence and Security Services (CTIVD): Institutional Accountability, International Law, and the Smedema Dossier 13/04/2026
  • New Videos about this True Crime (Jason Bourne like) Dutch (Royal) Hans Smedema Affair 07/04/2026
  • Collateral Damage of the Hans Smedema Cover-up 06/04/2026
  • Admissibility Analysis: Smedema v. The Kingdom of the Netherlands (Communication under Art. 22 CAT) 05/04/2026
  • Forensic and Legal Analysis of the Torturing Environment Scale (TES): Applicability to the Hans Smedema UNCAT and Schadefonds Proceedings 31/03/2026
  • Structural Reconfiguration of Global Safe Assets and Sovereign Debt: A Macroeconomic Blueprint for the Transatlantic and Pacific Alliance 29/03/2026
  • Macroeconomic and Geopolitical Evaluation of U.S. Sovereign Debt Consolidation: Universal Tariffs Versus a Hypothetical Allied 1 Trillion annual Security Grant 29/03/2026
  • Macro-Financial Imbalances and Institutional Attrition: A Comparative Analysis of U.S. Debt Hegemony and Systemic Rigidity in the Islamic World 28/03/2026
  • Cinematic Blueprint: The Hans Smedema Affair – A Feature Film Treatment 27/03/2026
  • Medico-Legal and Neuropathological Framework for the Investigation of State-Sponsored Torture: Application of the Istanbul Protocol to the Smedema Dossier 27/03/2026
  • The Architecture of Dutch Systemic Denial: A Philosophical and Psychological Analysis of the Hans Smedema Affair 26/03/2026
  • The Hans Smedema Affair: The True Crime (Jason Bourne like) Trilogy! 25/03/2026
  • World Pay America 1 Trillion a Year for Historical Protection and Free-Loading! 24/03/2026
  • Strategic Narrative Transposition: Aligning the Hans Smedema Affair with the Jason Bourne Cinematic Architecture for Documentary Production 23/03/2026
  • Comprehensive Analysis of Transnational State Capture: The Intersections Between the Hans Smedema Affair, Joris Demmink, and the Jeffrey Epstein Network 21/03/2026
  • Forensische systematisering van door de staat gesponsorde microsabotage en belemmering van de rechtsgang: het Jaap Duijs-dossier 20/03/2026
  • The CTIVD Watchdog’s Betrayal: Forensic Analysis of Dutch Institutional Fraud 16/03/2026
  • Mijn Eerste Officiële Rechtszaak in mijn 50+Jaar Hans Smedema Affair! 11/03/2026
  • DOSSIER: THE TROJAN HORSE LAWYER AND THE DESTRUCTION OF AL RUST 02/03/2026
  • Mis Poes: Forensic Analysis of the Smedema Evidence Heist 02/03/2026

Archive

https://hanssmedema.info/contents-sitemap/



Previous Image
Next Image

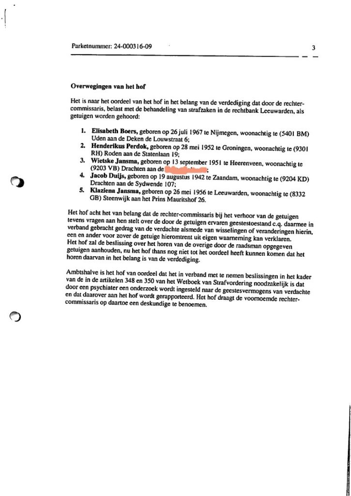
Tussenarrest3

Posted on 22/10/2012Full size 725 × 1024

Post navigation

Published inTussenarrest3
Proudly powered by WordPress